The Daily Insight

Connected.Informed.Engaged.

updates

What is sulfo tag?

Writer Emily Schmidt

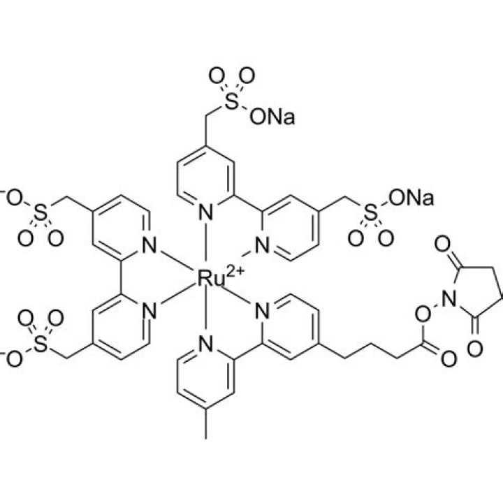
SULFO-TAG™ NHS-Ester is an N-hydroxysuccinimide ester which readily couples to primary amine groups of proteins. SULFO-TAG conjugated proteins can be used as detection reagents in MSD® immunoassays.

How does sulfo-tag work?

Electrochemiluminescent labels generate light when stimulated by electricity in the appropriate chemical environment. ... Electricity is applied to the plate electrodes by an MSD instrument leading to light emission by SULFO-TAG labels. Light intensity is then measured to quantify analytes in the sample.

What is a sulfo-tag antibody?

Description. MSD SULFO-TAG™ labeled Anti-Human Antibody may be used as a primary or secondary detection reagent to generate electrochemiluminescence in MESOSCALE DISCOVERY assays. It allows the use of commercially available human antibodies as detection in MSD assays without directly labeling them.

How does meso scale work?

We are able to run MSD assays in support of non-GLP, GLP, and product release testing under GMP. The MSD-ECL platform offers great flexibility with stable, non-radioactive, and easily conjugated labels.

What is Mesoscale assay?

Meso Scale Discovery biomarker assays provide a rapid and convenient method for measuring the levels of single or multiple targets within a single, small-volume sample.

How Electrochemiluminescence ECL Works

37 related questions found

What are MSD assays?

MSD immunoassays are based on a proprietary technology combining electrochemiluminescence and multiarray technology for detection of multiple proteins in a single sample. The majority of assays are sandwich-based and consist of a Multi-Spot microplate, where each spot is coated with unique capture antibodies.

What is the difference between mesoscale and microscale?

As nouns the difference between microscale and mesoscale

is that microscale is a very small or microscopic scale while mesoscale is a scale of intermediate size.

Is MSD an Elisa?

MSD (Meso Scale Discovery) is a method similar to ELISA except MSD uses electrochemiluminescence (ECL) as a detection technique as opposed to a colormetric reaction employed by ELISA. Meso Scale Discovery has developed proprietary technology for the measurement of molecules in biological samples.

What is MSD analysis?

Mean square displacement (MSD) analysis is a technique commonly used in colloidal studies and biophysics to determine what is the mode of displacement of particles followed over time. In particular, it can help determine whether the particle is: - freely diffusing; - transported; - bound and limited in its movement.

What is MSD instrument?

Instruments. MSD offers instruments to fit every application, budget, and research environment. Our MESO SECTOR S 600 is ideal for applications requiring high information content and high throughput. The MESO QuickPlex SQ 120 is a compact, affordable multiplexing imager with exceptional performance.

What is MSD Sulfo tag?

MSD GOLD SULFO-TAG NHS-Ester is an N-hydroxysuccinimide ester which readily couples to primary amine groups of proteins. SULFO-TAG conjugated proteins are used as detection reagents in MSD immunoassays. ... MSD GOLD SULFO-TAG NHS-Ester has been developed through rigorous multi-lot testing for reproducibility and precision.

Is there a difference between chemiluminescence and Electrochemiluminescence?

What is the Difference Between Chemiluminescence and Electrochemiluminescence? Chemiluminescence is the emission of light as a result of a chemical reaction. Meanwhile, electrochemiluminescence is the emission of light due to an electrochemical reaction occurring at an electrode surface.

What is a bridging assay?

Bridging ELISA is a special case of a sandwich ELISA in which a dimeric or oligomeric antigen (most often an antibody in a sample) is detected by a capture and detection antibody. ... Bridging ELISAs are most frequently used for the detection of IgG, for example in pharmacokinetic (PK) or anti-drug antibody (ADA) assays.

How is MSD calculated in Python?

1 Answer. Well the MSD is exactly as it sounds it is the mean square displacement so what you need to do is find the difference in the position (r(t + dt) -r(t)) for each position and then square it and finally take the mean.

What does MSD stand for in medical terms?

Ergonomics Plus' comprehensive definition of MSD: Musculoskeletal Disorders or MSDs are injuries and disorders that affect the human body's movement or musculoskeletal system (i.e. muscles, tendons, ligaments, nerves, discs, blood vessels, etc.).

How do you calculate mean square displacement in Matlab?

MSD is defined as MSD=average(r(t)-r(0))^2 where r(t) is the position of the particle at time t and r(0) is the initial position, so in a sense it is the distance traveled by the particle over time interval t.

What is Elisa sandwich?

The sandwich ELISA is a type of Enzyme-linked immunosorbent Assay that uses two antibodies: a capture antibody and a detection antibody. The purpose of any ELISA is to detect the presence of a target antigen in a sample. This means that they are known to bind to different places on the target antigen. ...

What is Alpha Lisa?

AlphaLISA is a bead-based, no-wash luminescent technology. When Alpha Donor and Acceptor beads are brought together through binding to the target, a cascade of chemical reactions is set in motion, creating an amplified signal.

What is ELISpot test?

Enzyme-linked immunosorbent spot (ELISpot) is a highly flexible assay and can be adapted to multiple readout formats. ELISpot assays are quantitative and measure key cellular functions of immune system cells. ELISpot has been used to assess both adaptive and innate immune responses.

Is a thunderstorm microscale?

Microscale circulation are eddies, while mesoscale are thunderstorms and tornadoes. Synoptic scale circulations are fronts and hurricanes, while the global scale are jet streams and El niño, which both form the macroscale.

Is mesoscale a tornado?

The mesoscale is the next scale that will be discussed. These weather phenomena typically last from an hour to a day and influence 10s to 100s of kilometers of distance. ... Examples of microscale phenomena include tornadoes, rainbows, convective updrafts, and downdrafts.

What is the difference between meteorology and climatology?

Meteorology focuses on short-term weather events lasting up to a few weeks, whereas climatology studies the frequency and trends of those events.

What are mesoscale winds?

Mesoscale meteorology is the study of atmospheric phenomena with typical spatial scales between 10 and 1000 km. Examples of mesoscale phenomena include thunderstorms, gap winds, downslope windstorms, land-sea breezes, and squall lines.

What is delfia assay?

Assay principle

DELFIA® (dissociation-enhanced lanthanide fluorescence immunoassay) is a time-resolved fluorescence (TRF) intensity technology. Assays are designed to detect the presence of a compound or biomolecule using lanthanide chelate labeled reagents, separating unbound reagent using wash steps.

What is immunological assay?

The enzyme-linked immunosorbent assay (ELISA) is an immunological assay commonly used to measure antibodies, antigens, proteins and glycoproteins in biological samples. Some examples include: diagnosis of HIV infection, pregnancy tests, and measurement of cytokines or soluble receptors in cell supernatant or serum.