The Daily Insight

Connected.Informed.Engaged.

news

What is a recursive definition?

Writer Mia Smith

In mathematics and computer science, a recursive definition, or inductive definition, is used to define the elements in a set in terms of other elements in the set. Some examples of recursively-definable objects include factorials, natural numbers, Fibonacci numbers, and the Cantor ternary set.

What is the recursive definition in math?

A recursive function is a function that calls itself, meaning it uses its own previous terms in calculating subsequent terms. ... This is a real-world math recursive function.

What is a recursive definition of a sequence?

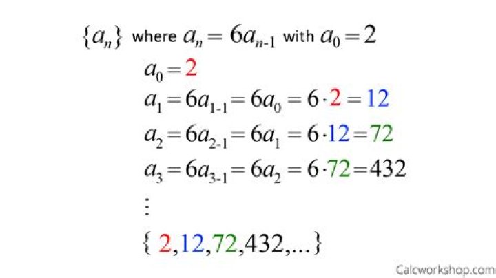
A recursive sequence is a sequence in which terms are defined using one or more previous terms which are given. If you know the nth term of an arithmetic sequence and you know the common difference , d , you can find the (n+1)th term using the recursive formula an+1=an+d .

What is a recursive definition for a function?

A recursive function (or procedure) calls itself! A function f is recursively defined if at least one value of f(x) is defined in terms of another value, f(y), where x≠y. Similarly: a procedure P is recursively defined if the action of P(x) is defined in terms of another action, P(y), where x≠y.

What is a recursive definition Algebra 2?

A recursive formula is a formula that defines each term of a sequence using preceding term(s). Recursive formulas must always state the initial term, or terms, of the sequence.

Discrete Math 5.3.1 Recursive Definitions

43 related questions found

What does recursive mean in math for kids?

Applying a rule or formula to its results (again and again).

What does recursive mean in writing?

Writing is a process. ... “Recursive” simply means that each step you take in your writing process will feed into other steps: after you've drafted an essay, for instance, you'll go do a bit of verification of some of your facts—and if you discover that you've gotten something wrong, you'll go back to the draft and fix it.

What does recursive mean in research?

Recursivity refers to the cyclical nature of qualitative research where all procedures can be undertaken repeatedly until a specified condition is met. For example, in a qualitative study, data are collected and then analyzed. ... The research focus might or might not change based on the collected and analyzed data.

What does recursive mean in computer science?

In computer science, recursion is a programming technique using function or algorithm that calls itself one or more times until a specified condition is met at which time the rest of each repetition is processed from the last one called to the first.

How do you write a recursive description?

A recursive formula is written with two parts: a statement of the first term along with a statement of the formula relating successive terms. Sequence: {10, 15, 20, 25, 30, 35, ...}. Find a recursive formula. This example is an arithmetic sequence (the same number, 5, is added to each term to get to the next term).

What is a recursive and explicit?

The main difference between recursive and explicit is that a recursive formula gives the value of a specific term based on the previous term while an explicit formula gives the value of a specific term based on the position. ... We can represent an arithmetic sequence using a formula.

What is recursion in DM?

Recursive Algorithms An algorithm is called recursive if it solves a problem by reducing it to an instance of the same problem with smaller input. Example I: Recursive Euclidean Algorithm procedure gcd(a, b: nonnegative integers with a < b) if a = 0 then gcd(a, b) := b else gcd(a, b) := gcd(b mod a, a) 9.

What is recursion in simple words?

Recursion is the process of defining a problem (or the solution to a problem) in terms of (a simpler version of) itself. For example, we can define the operation "find your way home" as: If you are at home, stop moving.

What does recursive mean in Linux?

Recursive means that Linux or Unix command works with the contains of directories, and if a directory has subdirectories and files, the command works on those files too (recursively).

What is recursion in DSA?

In recursion, a function or method has the ability to call itself to solve the problem. The process of recursion involves solving a problem by turning it into smaller varieties of itself. The process in which a function calls itself could happen directly as well as indirectly.

What is a recursive sentence?

So a sentence can be defined recursively (very roughly) as something with a structure that includes a noun phrase, a verb, and optionally another sentence. ... Recursion plays a crucial role not only in syntax, but also in natural language semantics.

What is a recursive person?

Something that is recursive has to do with a procedure or rule that is repeated. Think of something that "reoccurs" over and over again, like those fun house mirrors that are angled to present an infinite number of images. The adjective recursive comes from the Latin recurrere.

What is recursive thinking?

1. The process of solving large problems by breaking them down into smaller, simpler problems that have identical forms.

Why is speech writing recursive?

Recursive writing allows us to have more freedom in our writing and to revisit and rewrite steps as we see fit. The key to recursive writing is recognizing that writing is a process that repeats.

How is reading recursive?

Recursive reading, or returning to and annotating a single text over and over, dovetailed with our methods of writing as well. As in most classes emphasizing writing, the course requires students to return to and revise drafts of papers as they move through the class.

How do you use recursive in a sentence?

Recursive in a Sentence ?
  1. A recursive ratio must be used in problems where the pattern repeats over and over.
  2. A recursive procedure like “I before e, except after c” can help students remember common spelling rules.
  3. Because the computer language was recursive, the machine always responds in a pattern of yes/no.

What does recursive mean in math for Grade 6?

Definition: Each number in the pattern is called a term, and the nth term is denoted as an. ... We said that each new term is found by adding 2 to the previous term, so we can define an to be an = an-1 + 2. This is called a recursive definition, meaning that each new term depends on the term before it.